Тестовый тур

Всероссийская олимпиада школьников / 2022/2023 / / Россия

Вопрос 133 из 730 Завершить тестирование

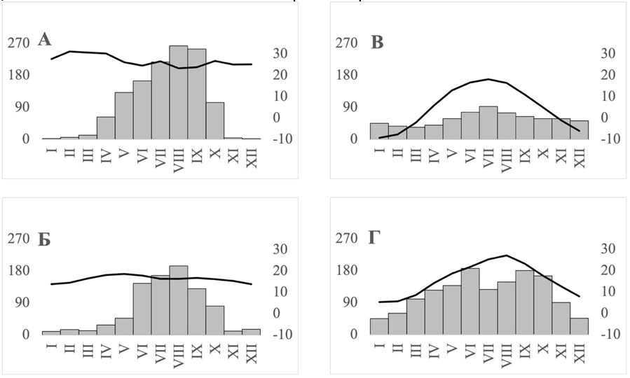
На каком из рисунков представлена климатограмма крупнейшего города десятой по численности населения страны мира?

Всероссийская олимпиада школьников
Региональный
2022/2023
9, 10, 11

Вы автор задания? Напишите нам.
Мы заботимся об авторских правах разработчиков заданий и работаем над восстановлением авторства заданий прошлых лет. Подробнее: Политика сайта

Нашли ошибку? Нажмите Ctrl+Enter или напишите нам