Тестовый тур

Всероссийская олимпиада школьников / 2017/2018 / Ульяновск, Ульяновская область / Россия

Вопрос 20 из 62 Завершить тестирование

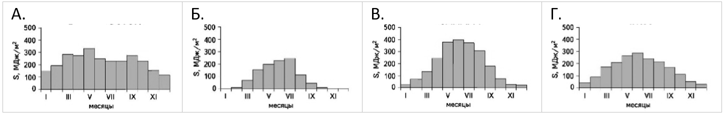
На каком из рисунков показан годовой ход прямой солнечной радиации в Мурманске?

Всероссийская олимпиада школьников
Заключительный
2017/2018
Ульяновск, Ульяновская область
9, 10, 11

Богачёв Д.В., Амбурцев Р.А., Другов М.Д., Жеренков А.Г., Иванова М.Б., Исаченко Г.А., Кириллов П.Л., Лобжанидзе А.А., Лысенко А.В., Мозгунов Н.А., Наумов А.С., Петросян А.Н., Рогачёв С.В., Соколова Д.В., Шевчук Е.И., Шеремецкая Е.Д.

Вы автор задания? Напишите нам.
Мы заботимся об авторских правах разработчиков заданий и работаем над восстановлением авторства заданий прошлых лет. Подробнее: Политика сайта

Задания тестового тура XXVII Всероссийской олимпиады школьников по географии / Д. В. Богачёв, Р. А. Амбурцев, М. Д. Другов и др. // География и экология в школе XXI века. — 2018. — № 7. — С. 75–79.

Нашли ошибку? Нажмите Ctrl+Enter или напишите нам